档案详情
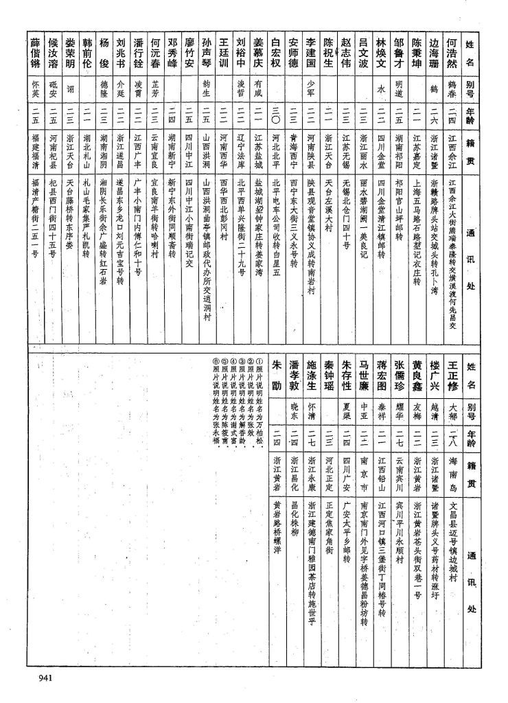
白宏权
成文日期: 1940年第十七期
档号: G2013-黄埔军校-42239
G2013-黄埔军校-42239-01.jpg
首页
新闻动态
公众参与
网上办事大厅
档案局办事窗口