档案详情
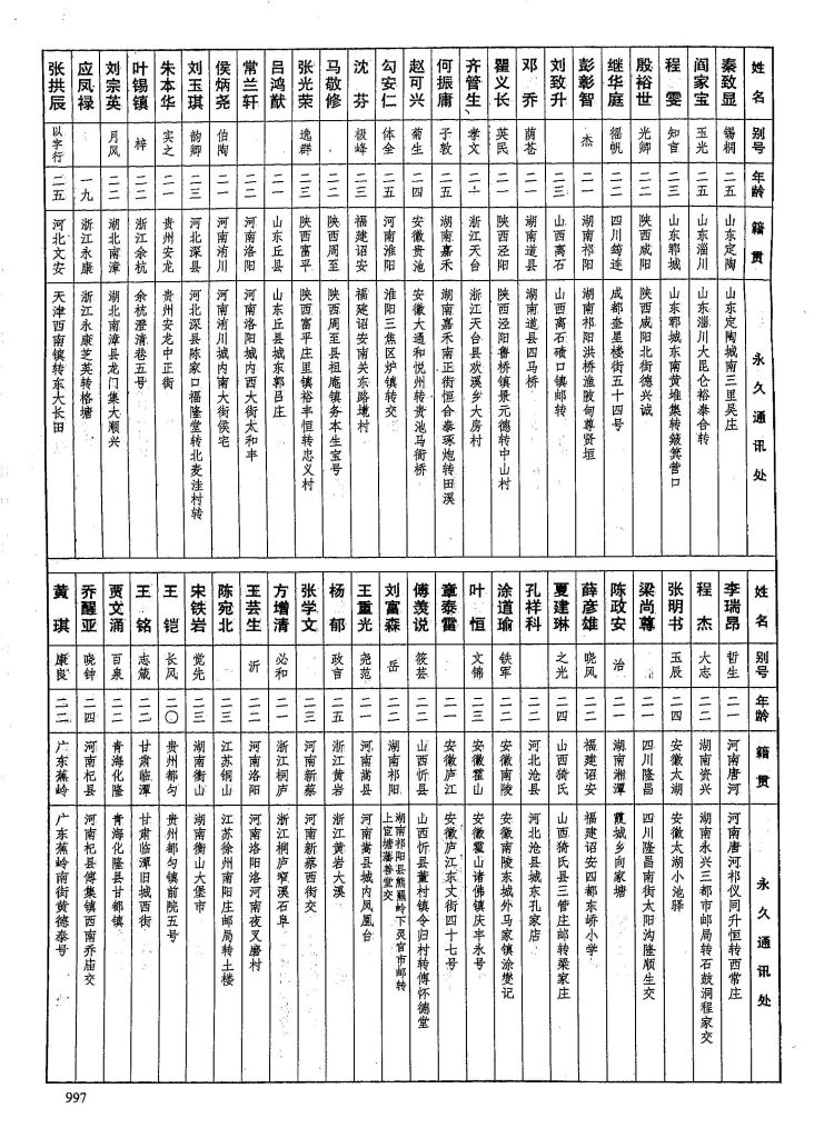
赵可兴
成文日期: 1941年第十八期
档号: G2013-黄埔军校-44744
G2013-黄埔军校-44744-01.jpg
首页
新闻动态
公众参与
网上办事大厅
档案局办事窗口