档案详情
章泰雷
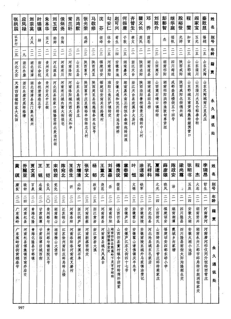
成文日期: 1941年第十八期
档号: G2013-黄埔军校-44768
G2013-黄埔军校-44768-01.jpg
首页
新闻动态
公众参与
网上办事大厅
档案局办事窗口