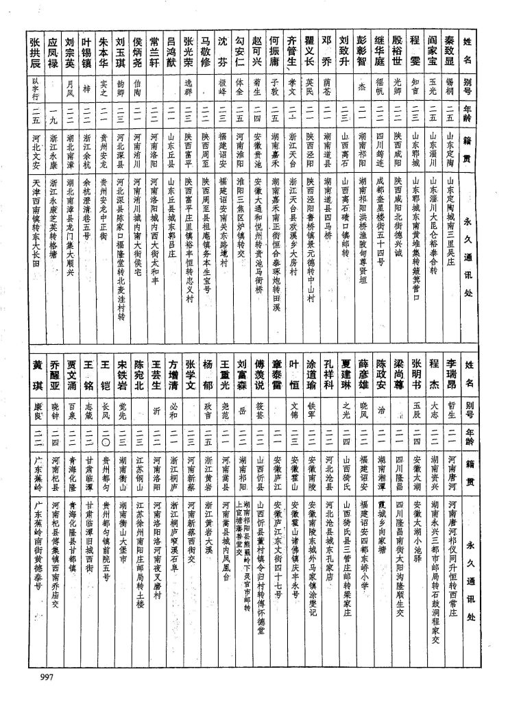
档案详情
张学文
成文日期: 1941年第十八期
档号: G2013-黄埔军校-44773
G2013-黄埔军校-44773-01.jpg
首页
新闻动态
公众参与
网上办事大厅
档案局办事窗口